VAT DYES:-

Vat Dyes:-
Properties, Classification and Application of Vat Dyes:-
Why So Called Vat Dye?
The word vat means, ‘Vessel’. The dyes take their name from vatting. The vat dyes are naturally coloring matter and kept in wooden vat and make solubilise vat dyes by the process of fermentation – so it is called vat dye. They are applied in a special kind of a dyebath in which the dye is reduced to a soluble form by means of a strong reducing agent, such as hydrosulphite. The vat dyes are insoluble and cannot be used directly and requires vatting. Among all the dyes, it has the best fastness properties. Vat dyes are among the most expensive dyes used for dyeing cellulosic materials with best overall fastness properties, including washing fastness, light fastness and chlorine fastness. They are preferred for dyeing workwear or uniforms, or where the textiles and apparels are expected to undergo repeated industrial launderings.
Propetties of Vat Dye:-
1) Vat dyes are natural coloring dyes.
2)Vat dye is water insoluble and can’t be applied directly on textile material.
3) Vatting process is needed for making the insoluble vat dyes into soluble form.
4) Mainly use fir cellulose fibre dyeing but in protein fibre dyeing PH should be controlled.
5) Tinctorial power of these dyes is too low. So, the increase in concentration by many folds increases shade depth a little.
6) Stability of the color in the fiber is excellent.
6) Vat dyeing is carried on alkaline medium
7) Various shades are found.
8) Dyes are available in two physical forms – powder and paste.
9) Dyeing process is difficult.
10) Exposure of dye bath to sunlight should be avoided as dyes are sensitive to light, and ester groups are affected to develop dye prematurely.
11) Dyes are costly, but the levelling property is excellent.
12) Vat dyes are mainly used for coloring cellulosic fibers.
13) Wide range of color can be achieved by these dyes.
14) Washing fastness of vat dye is very good with rating 4-5.
15) Rubbing fastness is not good.
16) Sometimes, can causes skin diseases
17) Application of vat dyes is limited in practical life.
Structure of Vat Dyes:-
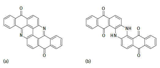
Vat dyes contain a quinoid structure as their characteristic sign. The dyestuff in its oxidised form is insoluble in water and most solvents, as no solubilising groups are present in the molecular structure. The reduction of the quinoid structure is an essential step in the application of vat dyes, as the reduced (leuco) form of the dye is soluble in alkaline solution. The reduced form of the vat dye is the fiber affine form that exhausts from the dyebath (below Figure).
Fig: Characteristic structures of vat dyes: (a) C.I. Vat Yellow 1 and (b) C.I. Vat Blue 4.
Classification of Vat Dyes:-
The vat dyes are to be divided into several groups, depending upon their chemical nature and origin, as follows:
a) Indigo, including both natural and Synthetic.
b) Thio-indigo dyes, containing sulphur.
c) Indigo derivatives, such as the brom-indigos; usually not derived directly from indigo itself, but built up synthetically.
d) Anthraquinone derivatives, including the various Indanthrene, Marione, Algol dyes, some Helindone, and others.
e) Carbazol derivatives, of which Hydron Blue is the chief representative.

Vat dyes are applied by three different methods designated as Method 1, Method no. 2 and Method no. 1 special. The methods, however, do not differ fundamentally and many dyes can be applied by more than one method.

Following is the classification of vat dyes (supra disperse) as per methods:

Method 1 dyes – Yellow 5G, N. Blue RA, Blue RCL, Blue BC, Jade Green XBN, Olive Green B, Grey 3B.
Method 2 dyes – Brown R, Brown BR, Olive R, Yellow 3R, Golden Orange 3G, Red 3B.
Method 1 (special) dyes – Direct Black AC.
Accordingly, chemicals to be used are mentioned as below:
1. Method 1 :
Caustic soda flakes – 5–8 gpl depending on light/med/dark
Hydro – 2.5–5 gpl depending on L/M/D shades
2) Method 2 :
Caustic soda flakes – 2–5 gpl depending on L/M/D shades
Hydro – 2.5–5 gpl depending on L/M/D shades
Common salt – 5–15 gpl depending on L/M/D shades.
3. Method 1 spl:
Caustic soda flakes – 12–15 gpl depending on med/dark shades
Hydro – 7–8.5 gpl – depending on med/dark shades
The above concentrations of chemicals are recommended as a guide for dyeing at a liquor ratio of 10:1.
In other way, 
Vat dyes can be classified based on the following:
a) Chemical constitution.
b) Method of application.
a) Chemical Constitution:-
As per chemical constitution, vat dyes can be classified into following two classes:
1) Indigoid
2) Anthraquinonoid
Indigoid dyes have limited range of colors. These form of dyes can dye nylon, wool and cotton. Whereas Anthraquinonoid vat dyes, i.e. anthraquinonoid compounds with carbonyl groups are in the market since the beginning of 20th century. Most of the vat dyes belong to anthraquinone groups because indogoid have lost their practical importance. All the browns, khakis, olives, grey products belong to this class.
b) Methods of application:-
Vat dyes are classified into four groups according to method of application, depending on the solubility, ease of vatting, optimum conditions of dyeing etc. In Germany, vat dyes are divided into four groups, according to the method of application.

1) IK Class (K for cold or Kalit in German)
2) IW Class (W for warm)
3) IN Class (N for normal)
4) IN Spl Class (S for special dyes)
Application of Vat Dyes:-
Stages in vat dyeing,
1) Vatting.
2) Dying.
3)Oxidation.
Theory of Vat Dyeing:-
The simplest arrangement for dyeing fabric is to pull the textile material through the dyebath so that the dye can exhaust on to the fabric surface. Low liquor ratios and the addition of common salt or Glauber’s salt both promote such exhaustion. In some cases, the addition of acid also promotes exhaustion. If the dye is only partially soluble in water and likely to be exhausted unevenly, the addition of soap or sodium carbonate may
promote leveling. A dyeing is considered to be level if all parts of all fibers have been penetrated evenly and completely. Machines for this type of dyeing are called batch machines.
1) Package and beam machines for yarns.
2) Jigs for open width fabrics
3) Winches for woven and knitted fabrics in rope form
4) Jet dyeing machines for knitted fabrics in rope form.
5) Paddle machines for sewn products like bedspreads
6) Smith drums for nylon hosiery or special machines for nylon hosiery.

If a dye is not soluble in water, as is the case with vats, it may be applied to the fabric as a dispersion by a padder. Once the insoluble vat dye has been uniformly applied to the fabric surface, usually with the aid of special dispersing agents (detergents), it can be solubilized by reaction with a reducing agent, e.g., sodium hydrosulfite (“hydros”, Na2S2O4) in dilute NaOH. Once it has been converted to its soluble (LEUCO) form, the vat dye can penetrate into the cotton fibers. After adequate time for penetration to occur, the fabric is withdrawn from the bath and oxidized by air or an oxidizing agent such as sodium perborate or hydrogen peroxide. This process is schematically represented below.
Before chemical reducing agents were readily available, vat dyes were converted to their soluble leuco form by fermentation of organic matter in wood tubs called vats. This method of reduction and application is the source of the name for this class of dyes. Once the vat dyes have been regenerated inside the fiber, they are very insoluble. This accounts for their excellent wash fastness. Because they can be applied as a dispersion by padding, solubilized by reduction, and finally reoxidized when inside the fibers, vats are well- suited to continuous dyeing operations.
Such treatments exhibit a number of advantages:-
a) Very efficient use of the dye. All that is made up can be applied.
b) The insoluble vat is very evenly distributed over the fabric surface, leading to level dyeings.
c) Continuous processes are normally more economical processes than batch processes.
Equipment and Chemicals:
Bleached 100% cotton ……………….(8″ x 24″)
C. I. Vat Green 1……………………… (20 g/L) Indanthrene Green FFG
Dispersing agent ……………………….(10 g/L)
Alginate NVS …………………………..(sodium alginate, 1 g/L)
Soap solution ……………………………(50 g/L)
NaOH solution …………………………(100 g/L)
Sodium hydrosulfite (hydros)………. (100 g/L)
Sodium chloride solution ……………..(100 g/L)

Ref: https://textilelearner.net

Comments

Popular Posts